
Supermorphe is a furniture design studio where ancient craftsmanship meets cutting-edge technology. Their mission is to rescue the dignity of the built environment through durable, natural materials. However, this beautiful synergy between human touch and digital precision created a complex operational challenge: how to ensure seamless communication and workflow across deeply specialized, yet siloed, teams
About my role in Supermorphe:

My role was to embed myself as a UX strategist within this unique ecosystem. I didn't just observe; I became a temporary member of each unit: from traditional carpentry to technical CNC operations and inventory management. This deep, ethnographic approach was crucial to mapping the end-to-end workflow and identifying the root causes of friction, not just the symptoms.

I discovered that the core issue wasn't a lack of skill, but a critical breakdown in communication and data digitalization. Vital information about wood plank measurements and defect mapping was being lost in translation between departments, leading to material errors, work stoppages, and operational dissonance.
My mission became to be the bridge, the human link between the artisans and the technology. I synthesized my research findings into a streamlined workflow proposal that targeted key bottlenecks. The solution wasn't a costly system overhaul, but a series of low-investment, high-impact interventions that established a constant work flow.
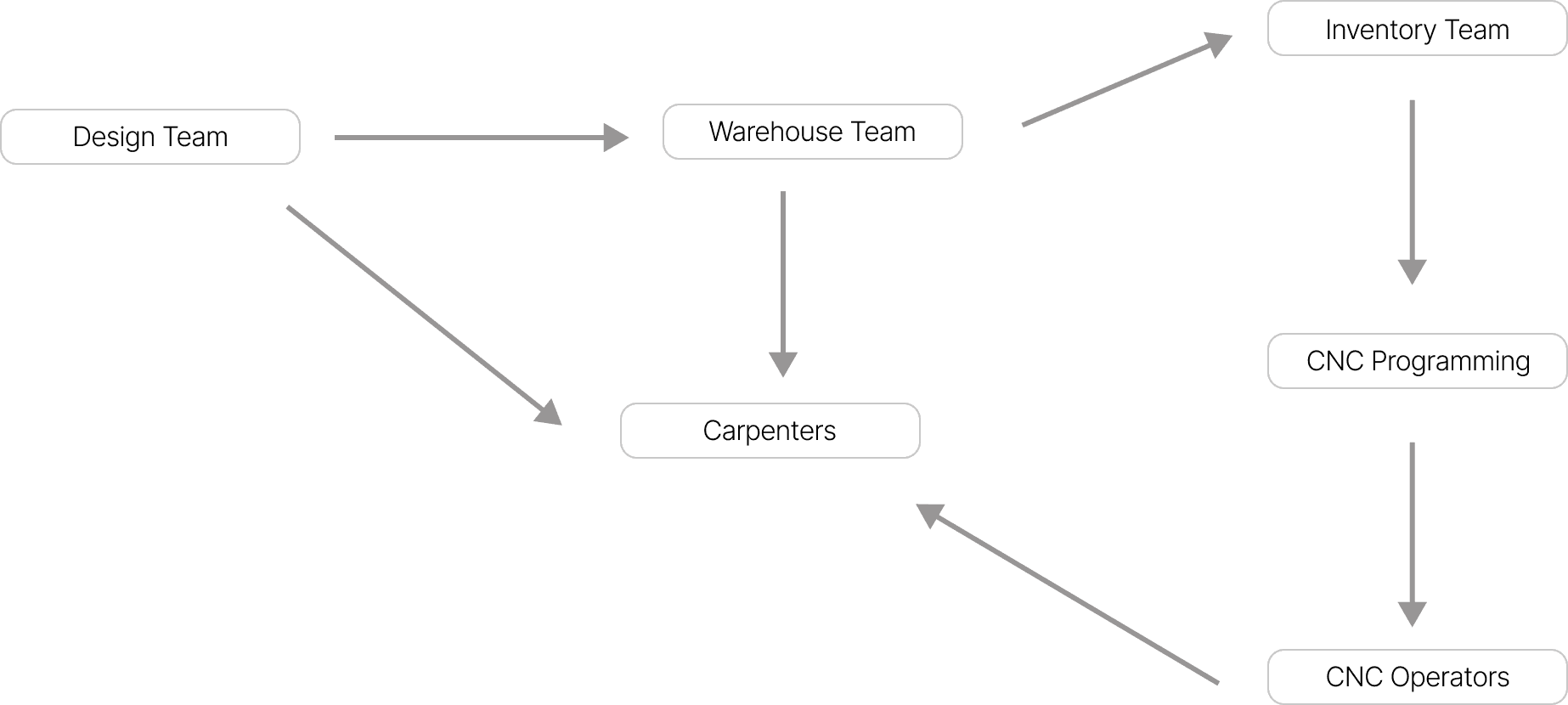
Supermorphe Workflow Analysis:
Pass information to the operator for it to reference on the real-life cutting board
Ineterview Insights: Conversation with employees
Warehouse workers:
The most common mistakes in this area are bad triming of the wood planks.
Bad communication with the design team often is the reason for this mistakes
They would like to have information on every modification to active projects on real-time
Inventory Team:
They would like to know how to be more precise and more efficient with all the defect and dimension information
The information they give to programmers often gets lost or it gets archive before it gets digitilized. So they have to do it over again
For them it is necesary to be able to check the digitilzed information.
One of the difficulties this team have is that non of them know how to use a computer properly.
CNC programming team
There is a lack of trust in the information they receive. Sometimes the defects on the wood are not accurate and this lead to mistakes in cut pieces
One of the things that delays the producition is the few wood abiavle for cuting.
For them, it is important that the Inventory team could be responsible for inputting the information about the wood planks into the computer
CNC operators
Cut often can not be executed because of the lack of space to fix the wood to the cutting bord.
They feel annoyed not to be able to execute their job because of these mistakes
Map of information journey in Supermorphe's workflow
Design team
Furniture Piece blueprints
Furniture Piece blueprints
Code and Wood plank Dimensions
Drawing of defect map on each wood plank
Nested pieces in wood planks and cut map
Assembly manual and cut pieces
Design team
Warehouse team
Warehouse team
Carpenters
Inventory Team
Inventory Team
CNC Programming
CNC Operators
CNC Programming
CNC Operators
CNC Operators
Team
Passes
To

Planing Satge Information
Design Team
Warehous Team
Information: Printed information
Blueprints detailing component segregation based on thickness and assembly progression
Board dimensions and assembly methodology.
Design Team
Carpenters
Information: Printed information
Blueprints detailing assembly stages and progression
Pre-cut Stage Information
Warehouse Team
Inventory Team
Information: Handmade information
Hand-drawn wood planks with written dimensions
Board dimensions and assembly methodology.
Warehouse Team
Carpenters
Information: Handmade Information
Wood planks for boards production
Inventory Team
CNC Programming
Information: Handmade Information
Hand-drawn wood planks with written dimensions and X, Y referred real defects on wood planks
Cut Satge Information
CNC Programing
CNC Operators
Information: Printed information
Map of nested wood planks set on the virtual cutting board coordinate system
CNC Operators
Carpenters
Information: Printed information
List of cut pieces
Insights:
One of the most valuable pieces of information from this analysis was that most of the conflicts occur during the Pre-Cut stage. It is worth noting that this stage involves the transmission of handwritten information in a disorganized manner on loose sheets of paper. After conducting interviews with the employees involved in these stages, it was discover that there was no established methodology or order for transmitting this information, and they relied on whatever was available, claiming that it was the fastest option for them.
Isolated teams operated with limited visibility into upstream and downstream processes, creating friction and errors.
The 'why' behind key decisions was lost, leaving craftsmen without the context needed to anticipate downstream impacts on design and machinery.
The carpentry team was forced to invest significant time in inspection and rework
Process mapping revealed the carpentry station as the nexus of the entire workflow, making its efficiency critical to the whole system's performance.
A lack of clear accountability meant that key handoffs between stages often failed, with tasks falling through the cracks.
Ambiguous roles and shared physical space caused critical gaps in material defect reporting and tracking
Intervention
The simplest and most cost-effective intervention was to create a parallel, low-tech system. Its purpose was to track inventory, log the defects in each piece of wood ready for processing, and mark each piece according to its thickness, species, and a quality grade based on defects:
Grade A: Almost perfect condition.
Grade B: Presence of defects, but not critical.
Grade C: Large cracks and knots; to be considered for small parts only.
This information was recorded on a printed form, which was then passed to the design department. There, it was used to nest these pieces into existing, ready-to-work designs and maximize material usage.

This paper-based system was a great help to the carpenters. Over time, in addition to the requested information, they began specifying directly on the forms what types of pieces they wanted cut from each board.
To support this initiative, I implemented a plan viewing area. These plans, which only showed the cutting layout for each furniture piece, were posted outside the workshop. They were available for anyone to consult and contained only the furniture currently in production.












